반응형
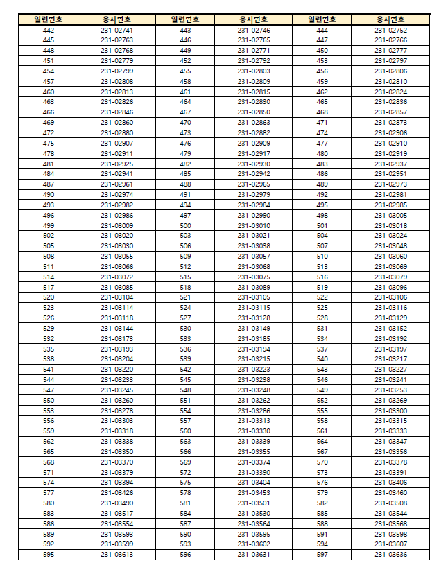
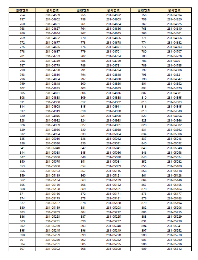
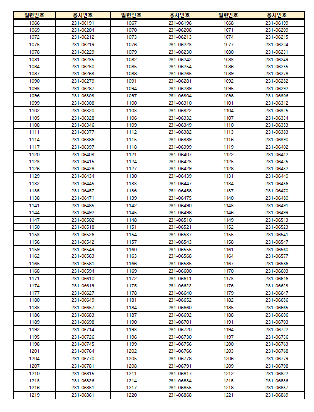
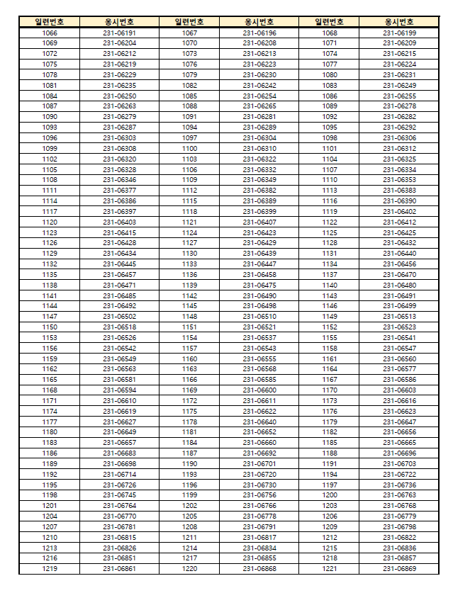
2023년 제58회 공인회계사 제1차시험 합격자 안내이다.
본인의 응시번호는 공인회계사 시험 홈페이지 - (http://opa.fss.or.kr) - 원서접수 - 응시표출력화면 에서 확인 가능

















출처 - 금융감독원
반응형
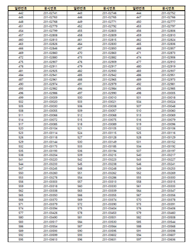
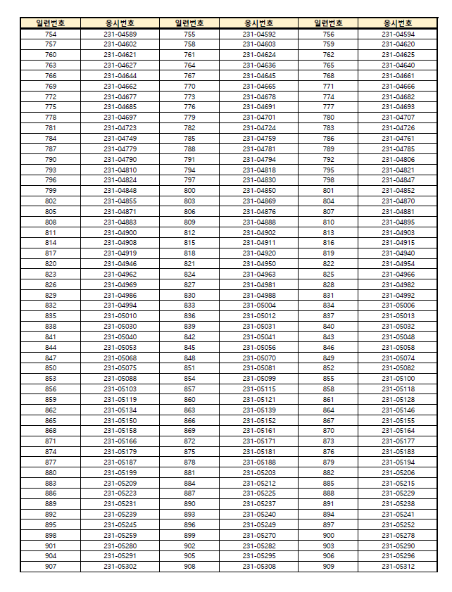
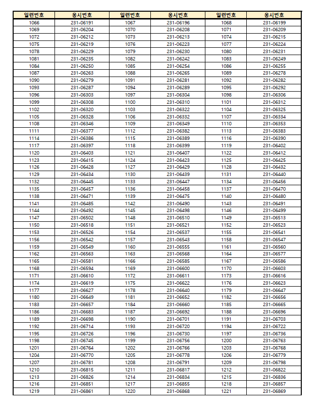
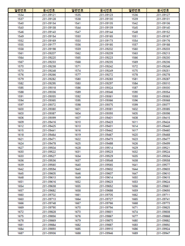
2023년 제58회 공인회계사 제1차시험 합격자 안내이다.
본인의 응시번호는 공인회계사 시험 홈페이지 - (http://opa.fss.or.kr) - 원서접수 - 응시표출력화면 에서 확인 가능

















출처 - 금융감독원
최근댓글